MODULE
2^ capitolo

I glucidi (dal greco glucos,dolce) comunemente detti carboidrati, sono composti costituiti da carbonio, idrogeno e ossigeno (sostanze ternarie). Inoltre i carboidrati rapresentano la fonte principale di energia del nostro organismo.

La produzione di carboidati in natura avviene nelle piante verdi mediante il processo di fotosintesi clorofiliana, che catalizza la conversione dell'anidride carbonica in D (+) -glucosio 

D= destro

+= destro giro

Il valore energetico dei carboidrati è variabile, si attribuisce un valore calorico di 4 kcal/g.

I glucidi (dal greco glucos,dolce) comunemente detti carboidrati, sono composti...

MONOSACCARIDI

Chimicamente possono quindi essere considerati come aldeidi (aldosi CHO) o chetoni (chetosi) di alcoli polivalenti.

                                                     (CH2O) 

 

Il n. di idrogeno è sempre doppio rispetto agli atomi di carbonio e di ossigeno.

Avremo pertanto i triosi (3 atomi di carbonio), i tetraosi (4 atomi di carbonio), i pentaosi (5 atomi di carbonio), gli esosi (6 atomi di carbonio, gli eptosi (7 atomi di carbonio) ecc...

 

 

ALDOSI: Un aldoso (o aldosio) è un monosaccaride contenente nella molecola un gruppo aldeide    

                                 Classificazione

Gli aldosi possono essere classificati in base al numero di atomi di carbonio che sono contenuti nella loro molecola:

 

esiste un solo aldoso a 3 atomi di carbonio (aldotrioso), ed è il gliceraldeide;

sono aldotetrosi (a 4 atomi di carbonio) l'eritrosio ed il treosio;

sono aldopentosi (a 5 atomi di carbonio) il ribosio, l'arabinosio, lo xilosio ed il lixosio;

 

sono aldoesosi (a 6 atomi di carbonio) l'allosio, l'altrosio, il glucosio, il mannosio, il gulosio, l'idosio, il galattosio ed il talosio.

 

Il gliceraldeide è il più semplice aldoso dotato di attività ottica. Il carbonio in posizione 2 asimmetrico conferisce alla molecola due stereoisomeri.

MONOSACCARIDI Chimicamente possono quindi essere considerati come aldeidi (aldosi CHO)...

STRUTTURE CICLICHE: I pentosi (5 atomi di carbonio) e gli esosi (6 atomi di carbonio) possono dare origine a strutture cicliche costituite da 5 (furanosi) o da sei (piranosi) atomi di carbonio

STRUTTURE CICLICHE: I pentosi (5 atomi di carbonio) e gli esosi...

ALDOESOSI

La formazione delle strutture piranosiche (chiuse è resa possibile dalla formazione di un legame semicetalico del gruppo ossidrile alcoico dell'atomo di carbonio 5 con l'atomo di carbonio aldeidico 1.

  • Il D-glucosio ed il D-galattosio sono epimeri in quanto cambia solo la configurazione rispetto al carbonio 4 mentre nel D-mannosio cambia la configurazione del carbonio 2.

         epimeri= uguali tranne per una molecola di carbonio

ALDOESOSI La formazione delle strutture piranosiche (chiuse è resa possibile...

                 Glucosio

Questo monosaccaride è il più importante degli esosi. Ha un potere edulcorante parci a circa il 70-80% di quello del saccarosio. In soluzione ruota a destra il piano della luce polarizzato: da qui il nome di "destrosio". Il glucosio è contenuto in una vasta gamma di alimenti, quali miele, frutta e vegetali.

                 Glucosio Questo monosaccaride...

D(-) FRUTTOSIO

Monosaccaride noto anche con il nome di levulosio in quanto le soluzioni ruotano il piano della luce polarizzata verso sinistra. E' presente insieme al glucosio nella frutta e in tutti gli alimenti derivati dalla frutta ad esempio nei succhi.

 

D(-) FRUTTOSIO Monosaccaride noto anche con il nome di levulosio in...

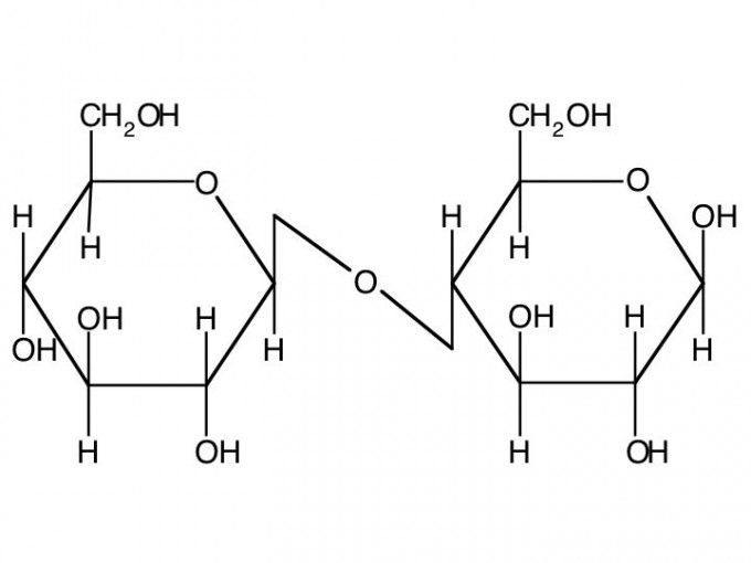
LEGAME GLICOSIDICO

Un monosaccaride può essere chimicamente legato ad un altro monosaccaride in seguito alla reazione dell'atomo di carbonio anomerico di uno dei monosaccaridi con un gruppo ossidrilico dell'altro monosaccaride. Il legame che viene così a formarsi e che unisce i due monosaccaridi è chiamato legame glicosidico e forma un disaccaride

Esempio:il lattosio è costituito da D-glucosio e da  β-galattosio. Il legame glicosidico è β-1,4.

LEGAME GLICOSIDICO Un monosaccaride può essere chimicamente legato ad un...

              SACCAROSIO

Noto anche con il nome di sucrosio, questo disaccaride è il comune zucchero da tavola, presente nei vari vegetali, in particolare nella barbabietola e nella comune canna da zucchero, da cui viene estratto.
E' costituito da una molecola di glucosio e una molecola di fruttosio unite tr lro tramite il seguente legame.

                   

              SACCAROSIO Noto anche...

I POLISACCARIDI

I polisaccaridi possono essere classificati in base alla funzione in::

  •  polisaccaridi di riserva: immagazzinati come granuli permettono ai vegetali ed agli animali di accumulare riserva di glucosio da utilizzare per esigenze energetiche. Es: amido (mondo vegetale) e glicogeno (mondo animale).

  • polisaccaridi di sostegno: costituiscono la struttura dei tessuti animali e, soprattutto vegetali. Es: cellulosaemicellulosapectinaagar.

  • polisaccaridi complessi: molecole specializzate. Es: glicoproteine.
I POLISACCARIDI I polisaccaridi possono essere classificati in base alla...

AMIDO

L'amido è un polisaccaride costituito da molecole di α -D glucosio presenti in quantità apprezzabili nei cereali, nei legumi secchi e nelle patate.

E' generalmente presente per il 20% come amilosio.
Le catene del polisaccaride assumono una configurazione a spirale (avvolgimento elicoidale dell'  α-amilosio), in grado di conferire un'intensa colorazione blu a soluzioni di iodio. Il restante 80%, chiamato amilopectina, è costituito da catene polisaccaridiche altamente ramificate. Tali ramificazioni sono originate da legami glicosidici  α (1→4).

Nel processo digestivo, e di assimilazione dell'amido, l' α-amilasi, che è presente sia nella saliva che nel succo pancreatico, idrolizza i legami   α (1→4) con formazione di una miscela di destrine e glucosio.

 

 

AMIDO L'amido è un polisaccaride costituito da molecole di α -D glucosio...

CELLULOSA

E' un polisaccaride costituito da molecole di    β-D di glucosio, unite mediante legami    β(1→4), presente in tutte le cellule vegetali .Anche la cellulosa è un polimero del glucosio, ma i suoi monomeri sono uniti fra loro in modo diverso rispetto a quelli dell'amido e del glicogeno. La maggior parte degli animali non digerisce la cellulosa, che passa quindi attraverso il sistema digerente come fibra insolubile . La frutta fresca, le verdure e i cereali sono ricchi di cellulosa.

L'uomo non possiede nel corredo enzimatico del sistema digestivo gli enzimi in grado di scindere il legame β-glicosidico, mentre possiede quelli in grado di idrolizzare il legame α-glicosidico dell'amido.

Per questo motivo la cellulosa non è utilizzabile come alimento, ma solamente come fibra.Molti organismi contengono gli enzimi in grado di idrolizzare la cellulosa (cellulasi). Ciò consente ad esempio ai ruminanti di nutrirsi della cellulsa presente nelle piante ingerite a seguito della presenza nel rumine di batteri e protozoi in grado di produrre gli enzimi necessari all'idrolisi della cellulosa.

 

 

 

CELLULOSA E' un polisaccaride costituito da molecole di    β-D di glucosio,...

                                                        IL GLICOGENO

Il glicogeno rappresenta la fonte di deposito e di riserva del glucosio negli animali. Ha scarsa importanza alimentare poiché viene rapidamente trasformato in acido lattico dopo la morte dell'animale; rappresenta invece una riserva energetica importantissima per sostenere il metabolismo corporeo.

Il glicogeno è un polimero ramificato del glucosio (è formato da molte unità di glucosio unite fra loro  con legami  alfa-1,4 e ramificazioni con legame alfa-1,6  presenti ogni 8-10 residui).

Il glicogeno ha una struttura molto compatta derivante dall'avvolgimento a spirale delle catene polisaccaridiche.  

Tratto da https://www.my-personaltrainer.it/il_glICOGENO.htm                                                        


Tratto da https://www.my-personaltrainer.it/il_glICOGENO.htm

                   ...

PECTINE

Le pectine sono carboidrati indigeribili che  si trovano combinati con la cellulosa negli spazi intercellulari dei tessuti vegetali. Molti tipi di frutta e verdura come mele, pere , prugna,  uva spina. devono la loro consistenza alle pectine

PECTINE Le pectine sono carboidrati indigeribili che  si trovano combinati con...
Next: 3^ capitolo