MODULE
RISOLUZIONE EQUAZIONI COMPLETE

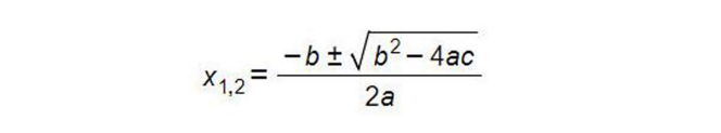
 Un’equazione di II grado si dice completa quando, in forma normale, tutti i coefficienti a,b,c sono diversi da zero (a è sempre diverso da zero). (Es 2x2-3x+1=0) L’equazione si risolve applicando la formula risolutiva

 Un’equazione di II grado si dice completa quando, in forma...

La quantità b^2-4ac si indica con la lettera greca Δ (delta), chiamata discriminante, in quanto discrimina tre casi distinti

Δ >0 si hanno due soluzioni reali e distinte

Δ =0 si hanno due soluzioni reali e coincidenti

Δ <0 non si ha nessuna soluzione reale

La quantità b^2-4ac si indica con la lettera greca Δ...
EQUAZIONI DI SECONDO GRADO complete (delta positivo) _ ES30
EQUAZIONI DI SECONDO GRADO complete (delta positivo) _ ES30
Duration (m)
-+
EQUAZIONI DI SECONDO GRADO complete (delta nullo) _ ES35
EQUAZIONI DI SECONDO GRADO complete (delta nullo) _ ES35
Duration (m)
-+
EQUAZIONI di SECONDO GRADO complete delta negativo _ ES40
EQUAZIONI di SECONDO GRADO complete delta negativo _ ES40
Duration (m)
-+
Next: MAPPA CONCETTUALE ED ESERCIZI