Toggle navigation
Menu
Classmill
Sasha
MS WORD
Login
Sign Up
MS WORD
1
Форматування
2
Діаграма
3
Таблиці
4
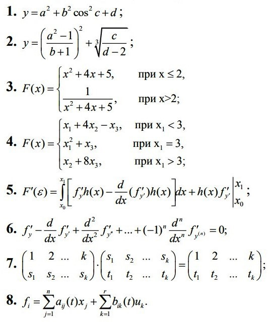
Формула
Формули в таблицях
Самостійна робота
Робота з документом
Робота з документом 2
Робота з документом 3
Робота з документом 4
Робота з документом 5
Робота з документом 6
Learning
Discussion
MODULE
All modules
4
Delete
Drag
Next: Формули в таблицях