Toggle navigation
Menu
Classmill
Sasha
8
Login
Sign Up
8
Кодування символів. Двійкове кодування. Одиниці вимірювання довжини двійкового коду.
Learn princips of coding.
Архітектура комп’ютера. Процесор, його призначення. Пам'ять комп’ютера. Пристрої введення та виведення даних.
Learn princips of PC.
Історія засобів опрацювання інформаційних об’єктів. Технічні характеристики складових комп’ютера. Види сучасних комп’ютерів. Практична робота 2. Конфігурація комп’ютера під потребу.Класифікація та загальна характеристика програмного забезпечення. Ліцензії
Архівування даних. Стиснення даних, види стиснення даних. Архіватори. Типи архівів. Операції над архівами.
Створення, редагування та форматування символів, колонок, списків в текстовому документі. Недруковані знаки.
Створення, редагування та форматування таблиць в текстовому документі.
Створення, редагування та форматування графічних об’єктів в текстовому документі.
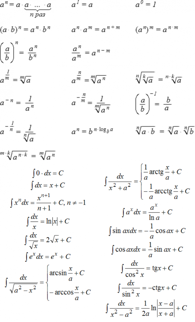
Створення, редагування та форматування формул в текстовому документі. Інструктаж з БЖД. Практична робота 4. Створення текстового документа, що містить об’єкти різних типів.
Стильове оформлення абзаців. Розділи. Колонтитули. Структура документа. Посилання. Автоматизоване створення змісту та покажчиків
Формати аудіо- та відеофайлів. Програмне забезпечення для опрацювання об’єктів мультимедіа.
Лазарус. Вступ.
Форма та її властивості. Змінюємо властивості об’єкта.
Створюємо програму, яка реагує на події.
Робота з компонетоми Image та Label.
LAZARUS: оператор вибору Case
Умовні оператори If…Then, If…Then…Else. Вкладені оператори розгалуження.
Генератор випадкових чисел
Створюємо програму для контролю знань
Lazarus: створюємо контролюючу програму.
LAZARUS: створюємо програму з таймером «Диктант»
LAZARUS: покращуємо програму з таймером «Диктант»
Створюємо програму «Калькулятор вчителя»
Проект малювання на формі різних фігур
Інтеактивне малювання
Гра зіграй зі мною.
Текстовий редактор!!!
Моделювання роботи світлофора.
Динамічне створення компонентів.
ФРАКТАЛ1!!!
Павук (фрактал 2).
Практична робота.(Корабель)
Ідеальна вага
Оцінка
Day of Year
Clock
Побудова графіка
Goob bye my love))))
Поняття електронної таблиці. Табличні процесори, їх призначення. Середовище табличного процесора.
Виконання обчислень за даними електронної таблиці. Автозаповнення . Практична робота.
15.04.2019
16.04.2019
Diagram
Today
Learning
Discussion
MODULE
All modules
Створення, редагування та форматування формул в текстовому документі. Інструктаж з БЖД. Практична робота 4. Створення текстового документа, що містить об’єкти різних типів.
Теоретичний матеріал
Опрацювати
Download
Теоретичний матеріал
Delete
Drag
Практична робота ч1
Виконати
Практична робота ч1
Delete
Drag
Delete
Drag
Практична робота ч2
Виконати
Практична робота ч2
Delete
Drag
Delete
Drag
Next: Стильове оформлення абзаців. Розділи. Колонтитули. Структура документа. Посилання. Автоматизоване створення змісту та покажчиків