MODULE
Prodotto di binomi coniugati

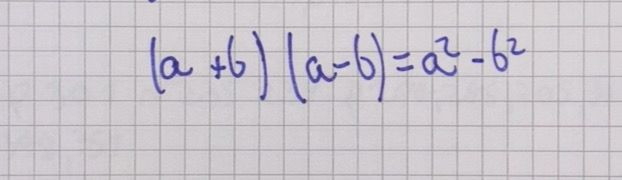
                                IL PRODOTTO DI BINOMI CONIUGATI                                              Un prodotto di binomi coniugati è una particolare forma di prodotto che si presenta sotto la forma (a + b)(a - b)(a+b)(ab), che si semplifica in un binomio al quadrato:

 
 
                   ...

Il prodotto di binomi coniugati elimina il termine di incrocio (ab) e lascia solo i quadrati dei singoli termini con segno negativo tra di essi. Questo accade grazie alla somma algebrica dei termini incrociati che si annullano.

Il prodotto di binomi coniugati elimina il termine di incrocio...