MODULE
Operazioni con radicali

Il prodotto di radicali con lo stesso indice è una proprietà fondamentale dei radicali che permette di semplificare espressioni che coinvolgono radici. La proprietà afferma che il prodotto di due radici con lo stesso indice è uguale alla radice del prodotto dei radicandi.

Il prodotto di radicali con lo stesso indice è una...

La proprietà della divisione sotto radice è una delle proprietà fondamentali dei radicali. Permette di semplificare espressioni che coinvolgono il rapporto tra due radici, spostando la divisione sotto il segno della radice stessa.

La proprietà della divisione sotto radice è una delle proprietà...

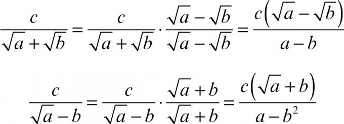
Razionalizzazione del denominatore:

Quando si ha una radice nel denominatore di una frazione, si può moltiplicare numeratore e denominatore per una radice che annulli la radice nel denominatore

Razionalizzazione del denominatore: Quando si ha una radice nel denominatore...

La radice di un prodotto di potenze è un concetto che permette di semplificare espressioni che coinvolgono sia radici che potenze. Questo è un caso in cui possiamo applicare le proprietà sia dei radicali che delle potenze.

La radice di un prodotto di potenze è un concetto...

Il trasporto sotto il segno di radice è una proprietà che consente di spostare operazioni di moltiplicazione e divisione sotto il simbolo della radice, semplificando così l'espressione. Si tratta di una delle proprietà fondamentali dei radicali, ed è spesso utilizzata per semplificare espressioni o per manipolare termini che coinvolgono radici.

Il trasporto sotto il segno di radice è una proprietà...

La radice di una radice è un concetto che può sembrare complicato, ma si può semplificare utilizzando le proprietà degli esponenti frazionari. In pratica, quando calcoliamo la radice di una radice, possiamo riscrivere il processo come l'elevamento a una potenza con esponente frazionario.

La radice di una radice è un concetto che può...